Diplomarbeit von Andrè Neubert, HTW-Dresden (FH), Fachbereich Bauingenieurwesen/Architektur, Studiengang Bauingenieurwesen 
 Thema: "Entwicklung einer Softwarekonzeption als Lehrhilfe für symbolische Darstellungen auf dem Gebiet der Festigkeitslehre"

Eindimensionale Bauteile

zzz
Querschnittskennwerte

Die am Balken oder Stab vorkommenden Querschnittskennwerte können grundlegend in zwei große Gruppen, welche von der Theorie der statischen Berechnung abhängig ist, wie folgt eingeteilt werden: Elastische Querschnittskennwerte und Plastische Querschnittskennwerte. Des weiteren unterscheidet man einfache Querschnitte ("Grundquerschnitte" z.B.: Rechteck, Dreieck, Kreis, usw.), aus verschiedenen einfachen Teilquerschnitten zusammengesetzte Querschnitte ("Zusammengesetzte Querschnitte" z.B.: Doppel T, Winkel, usw.) und aus verschiedenen Baustoffen zusammengesetzte Querschnitte ("Verbundquerschnitte" z.B.: Stahl mit Beton, Holz mit Stahl oder Kunststoffen, usw.). 
 

elastisch

Bei der Anwendung elastischer Querschnittswerte müssen aus der Sicht der Statik und der Festigkeitslehre bestimmte Voraussetzungen eingehalten werden. So wird bei der elastischen Betrachtung der Baustoffe eine Proportionalität zwischen Spannungsänderung und Dehnungsänderung unterstellt. Dies bedeutet, daß der Baustoff dem Hookeschen Gesetz folgt (s ~ e). Demnach verhalten sich auch die Biegespannungen wie die Abstände von der Nullinie - Naviersche Hypothese. 
(Siehe [Applet4 o.5] )

Grundquerschnitte

Fläche: 

Statisches Moment: 

Trägheitsmoment: 

Zentrifugalmoment:

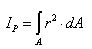
Polares Trägheitsmoment:

Hauptträgheitsmomente:
na, wer wird denn!zzzzz

Hauptmomentenrelation:
 

Hauptachsen:

Widerstandsmoment:

Trägheitsradius:
(Siehe [Applet4])
 
 

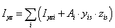
Zusammengesetzte Querschnitte
 

Fläche:
 

Statisches Moment:
 

Trägheitsmoment:
 

Zentrifugalmoment:
(Siehe [Applet5])
 
 

Sonderproblem Querschnittskennwerte bei Torsion

Da bei einer Torsionsbelastung die Querschnitte bzw. Querschnittsabschnitte verwölben können, gemeint ist hierbei ein Nichtebenbleiben der Querschnittsebene, ist eine gesonderte Untersuchung nötig. Man kennt in der Festigkeitslehre drei mögliche Torsionsspannungen: Die primäre Torsionsspannung (St.-Venantsche Torsionsspannung), die sekundäre Torsionsspannung und die Wölbnormalspannung. Es ist nun von der Querschnittsform abhängig welche der Spannungen, entweder alleine oder gemeinsam, auftreten. Grundlegend können Querschnittsformen bei denen der Torsionsschubfluß in konstantem Abstand zum Schubmittelpunkt wirkt, sowie Querschnitte bei denen sich die Schubflußvektoren im Schubmittelpunkt schneiden, als wölbfrei angesehen werden. Diesen Querschnitten brauchen nur primäre Torsionsspannungen zugeordnet werden. Bei allen anderen Querschnitten können alle drei Spannungen gleichzeitig auftreten. Zur Ermittlung der drei Spannungen sind spezielle Querschnittskennwerte erforderlich.  Die Berechnung der Querschnittskennwerte ist mathematisch sehr kompliziert und deshalb werden die Querschnitte noch einmal unterschieden in: 
 

           a) Vollquerschnitte, 
           b) dünnwandige geschlossene Querschnitte (Hohlquerschnitte), 
           c) dünnwandige offene Querschnitte. 
 
 
 

Torsionsträgheitsmoment (primäre Torsionsspannung)

zu a): - Kreisförmige Querschnitte:

ohoho- Nichtkreisförmige Querschnitte: IT ist nicht allgemein festgelegt.

zu b): 

zu c): 

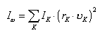
Wölbtorsionsmoment (Wölbwiderstand)
 

zu a): In allgemeinen werden Vollquerschnitte nicht auf Wölbkrafttorsion untersucht, da die entstehenden Wölbnormalspannungen sowie die sekundären Torsionsschubspannungen kaum vorhanden sind.

zu b): 

zu c): 
 
 
 

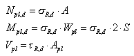
plastisch

Plastische Querschnittskennwerte können nur für Baustoffe mit ausgeprägtem plastischen Verformungsverhalten in Ansatz gebracht werden. Sie sind als Beanspruchbarkeiten zu betrachten, bei denen die Material-Bruchsicherheit schon von vornherein eingerechnet wird. Allerdings müssen sogenannte Interaktionsbeziehungen bei einer Kombination unterschiedlicher und gleichzeitig wirkender Beanspruchungen berücksichtigt werden. Bei plastischen Schnittgrößenermittlungen ist darauf zu achten, daß keine Torsionsmomente in Folge des gewählten statischen Systems entstehen können. 
(Siehe [Applet6])

Die im Folgenden aufgeführten Relationen gelten für Stahlprofile:

 

Verbundquerschnitte

Verbundquerschnitte sind Querschnitte, welche aus mindestens zwei unterschiedlichen Baustoffen zusammengesetzt sind. In der Praxis kommt vor allem die Verbindung Stahlbeton - Stahl vor, es sind aber auch andere Kombinationen möglich. Man unterscheidet hier vier Querschnittsklassen. Ihnen liegen unterschiedliche Theorien zur Ermittlung der Querschnittskennwerte zu Grunde (elastisch oder plastisch). Die durch eine, zum Teil sehr umfangreiche, Berechnung gewonnenen Querschnittskennwerte sind (insofern plastisch) Beanspruchbarkeiten. Auf eine Auflistung der Berechnungsrelationen wurde an dieser Stelle verzichtet, da diese sehr unterschiedlich und umfangreich sein können - siehe hierzu einschlägige Tafelwerke.
(Siehe [Applet 6] Berechnung plastischer Querschnittswerte)
 
 
 

 

 © 2001 Andrè Neubert  -  Version 1.00 vom 30.06.2001