z zz |
Zug- und Druckspannungen
Zugspannungen entstehen durch
Kräfte, die ein Bauteil mittig auf Zug beanspruchen. Druckspannungen
entstehen, wenn auf ein Bauteil Druckkräfte wirken. Man spricht auch
von Zug- und Druckbeanspruchungen.
(Siehe [Applet
1 u. 2])
Zugbeanspruchung
Äußere Kräfte,
die an einem Tragwerk ziehend angreifen, versuchen das Tragwerk zu verlängern,
zu dehnen. Es wirken innere Längskräfte (Normalkräfte).
Das Bauteil erfährt eine Beanspruchung auf Zug. Wenn die Zugkräfte
mittig wirken, kann im allgemeinen eine gleichmäßige Verteilung
über den Querschnitt angenommen werden. Es entstehen Zugspannungen
s. Diese erhalten ein positives Vorzeichen. /9/
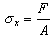
Spannungsrelation:
Druckbeanspruchung
Äußere Kräfte,
die auf einen Baukörper drücken, versuchen den Baukörper
zu verkürzen, zu stauchen. Es wirken innere Längskräfte
(Normalkräfte). Das Bauteil erfährt eine Beanspruchung auf Druck.
Wenn die Druckkräfte mittig wirken, kann im allgemeinen eine gleichmäßige
Verteilung über den Querschnitt angenommen werden. Es entstehen Druckspannungen
s. Diese erhalten ein negatives Vorzeichen.
Bei schlanken Traggliedern
kann durch eine Druckkraft ein seitliches Ausknicken erfolgen, bevor die
Druckkraft diesen Körper zusammenpressen würde. Hierdurch entstehen
Beanspruchungen auf z.B. Knicken (siehe Stabilität). /9/
Spannungsrelation:
(Siehe [Applet
1 u. 2])
|